2021. 1. 7. 06:01ㆍ전기공부/전기회로
19. 커패시터(Capacitor)가 리액턴스(X)로 작용하는 이유
앞에서 커패시터의 충전, 방전 과정에 대해 공부해보았다.
yyxx.tistory.com/147
18. 커패시터의 원리(충전, 방전 과정)
18. 커패시터(Capacitor)의 원리(충전, 방전 과정) 전기회로에서 R,L,C 소자를 이해하는 것은 중요하다. 이 중 R(저항)과 L(인덕터)에 대해서는 앞에서 공부해보았다. yyxx.tistory.com/130 1. '저항(Resistor)'..
yyxx.tistory.com
충,방전 과정을 보면 어느 순간에는 전류가 흐르고 어떤 경우에는 흐르지 않는다.
그렇기 때문에 커패시터는 교류전류를 억제하는 리액턴스(Reactance)로 작용할 수 있다.
커패시터의 충, 방전 과정에서 전류가 흐르는 조건을 확인하고
리액턴스 작용을 하는 이유에 대해 자세히 알아보자.
1. 커패시터 회로에 전류가 흐를 조건
2. 커패시터가 리액턴스 작용을 하는 이유
3. 콘덴서(커패시터) 투입 과도전류
1. 커패시터 회로에 전류가 흐를 조건
커패시터 회로에 언제 전류가 흐를까?
결론부터 이야기하자면 전압이 바꾸는 조건에서 전류가 흐르게 된다.
식으로 표현하면
i(t) = C · (dv(t)/dt) - 시간에 따라 전압이 변화하면 전류가 생성된다.

전압이 바뀌는 조건에서 전류가 흐른다는 건
앞에서 봤던 충,방전과정에서 확인할 수 있다.
(1) 충전과정에서 보면
처음 스위치가 열려있을 때

도선과 커패시터의 음전하와 양전하가 모두 짝을 이룬 중성상태이기 때문에 전류가 흐르지 않는다.
스위치를 닫게 되면

전원에 의한 전압 변화가 생기면서 음전하(전자)의 이동으로 전류가 발생한다.
커패시터의 유전체가 포화되면

커패시터의 금속판의 전하와 유전체의 전하가 모두 짝을 이루게 된다.
전원의 100V가 커패시터에 모두 걸리고 전압변화가 없어지면서 음전하(전자)가 이동하지 않게 되어 전류가 흐르지 않는다.
(2)방전과정에서 보면
처음 스위치가 열려있을때

도선과 커패시터의 전하들을 모두 짝을 이루고 있어서 전류가 흐르지 않는다.
스위치를 닫게 되면

커패시터 금속판 상, 하단 사이에 전위차가 발생한다. 전압 변화가 발생하면서 커패시터 금속판 하단의 음전하가 커패시터 금속판 상단으로 이동한다. 도선을 타고 음전하(전자)가 이동하면서 전류가 나타난다.
시간이 지나 커패시터 전압이 모두 방전되어 0V가 되면

커패시터와 도선의 음전하와 양전하가 모두 짝을 이루고 전류가 흐르지 않게 된다.
2. 커패시터가 리액턴스 작용을 하는 이유
커패시터에 전류가 흐르는 상황을 그래프로 나타내 보자.
◇충전 과정 그래프

스위치를 닫는 순간에 커패시터 전압이 상승하기 시작한다. 전압의 변화가 생기면서 전류가 흐르다가
커패시터가 충전이 끝나서 100V가 되면 전류가 0A로 흐르지 않게 된다.
이 그래프를 보면 커패시터의 전압이 변하지 않을 때는 커패시터가 절연체로 전기가 통하지 않는 상태임을 알 수 있다.

또한 전압변화 기울기가 작아지면 전류의 크기가 작게 흐름을 알 수 있다.

커패시터 충전 초기에 전압변화(기울기)가 가장 크므로 전류가 가장 크고
충전이 되면 될수록 전압변화(기울기)가 작아져서 전류가 작아짐을 볼 수 있다.
즉 커패시터는 전압 변화율에 따라 전류를 억제할 수 있는 리액턴스(X) 역할을 함을 알 수 있다.
이 상황을 표현한 식이
커패시터 식 : i(t) = C · (dv(t)/dt) - 시간에 따라 전압이 변화하면 전류가 생성된다. 전압 변화율이 클수록 큰 전류가 흐른다.

이 식을 페이저식으로 나타내면
I = CjwV
( d/dt 는 페이저로 갈 때 jw와 같다. j는 90도 앞서게 하는 연산자이므로, w는 크기)
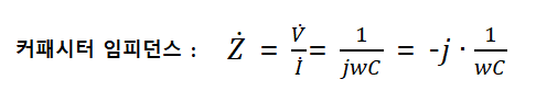
이 식을 임피던스로 표현해주면
Z = V/I = (1/jwC) 이다.
임피던스 Z = R + jX 의 형태로 표현하기 위해
Z = (1/jwC) 에서 분자분모에 j를 곱해주면
Z = (1/jwC) = -j(1/wC) 이다.

이 식을 복소평면에 표현해보면

-j(1/wC)는 그림에서 보라색 화살표처럼 모두 허수축에 존재하는 용량성 리액턴스임을 확인할 수 있다.
3. 콘덴서(커패시터) 투입 과도전류
위의 특성 때문에 콘덴서(캐패시터) 투입 시 과도전류(과전류)가 흐른다.
과전류(Over Current)는 크게 3가지 종류가 있다.
1) 고장전류(단락전류, 지락전류 등)
사고전류라는 말은 잘 안 쓰고 우리나라 표준용어로 고장전류라는 말을 쓴다.
2) 과부하전류(Overload Current)
사고전류가 아니라 부하를 많이 사용할 때 발생하는 전류이다.
예를 들어 여름에 여러 세대에서 에어컨을 많이 쓰게 되면 아파트에 과부하 전류가 흐를 수 있다.
그래서 변압기 아래 MCCB와 같은 차단기가 연결되어 부하가 많이 걸리면 끊도록 세팅되어 있다.
그렇지 않다면 변압기가 과열로 탈 수 있다.
3) 과도전류(Transient Current)
과도하는 순간의 전류이다. 스위치를 On, Off 할 때처럼 과 같이 변하는 순간의 전류이다.
대표적으로 1.변압기 여자돌입전류 2. 전동기 돌입전류 3. 콘덴서 투입전류가 있다.
커패시터 식 : i(t) = C · (dv(t)/dt) - 시간에 따라 전압이 변화하면 전류가 생성된다. 전압 변화율이 클수록 큰 전류가 흐른다.
위의 식에 따라서
최초 콘덴서(condenser)를 투입할 때 전압의 변화율(기울기)이 가장 크므로 아주 큰 전류가 흘렀다가 안정되기 시작한다.
콘덴서 투입전류는 정격전류의 수십 배로 크나 전류가 흐르는 시간이 길지는 않은 편이다.
'전기공부 > 전기회로' 카테고리의 다른 글
| 21. 개폐서지(Switching Surge)와 절연파괴 (0) | 2021.01.19 |
|---|---|
| 20. RLC회로에 진동이 발생하는 이유 (0) | 2021.01.09 |
| 18. 커패시터의 원리(충전, 방전 과정) (0) | 2021.01.03 |
| 17. 여자돌입전류 (3)문제점과 대책 (0) | 2020.12.23 |
| 16. 여자돌입전류 (2)발생 원인 (0) | 2020.12.19 |